반응형
서울 강동구 고덕강일 공공택지지구에 공급되는 민영아파트 ‘고덕강일 대성베르힐’의 입주자모집공고가 발표되었습니다. 분양가상한제 적용, 전매제한 3년, 거주의무기간 5년 등 청약 전 꼭 확인해야 할 조건들이 있습니다. 청약 분양일정, 자격 요건, 특별공급 유형까지 자세히 살펴보세요.



📌 1. 기본정보
- 단지명: 고덕강일 대성베르힐
- 위치: 서울특별시 강동구 상일동 43번지 일원 (고덕강일 공공주택지구 12블럭)
- 단지 규모: 총 13개동, 지하 2층 ~ 지상 15층, 총 613세대
- 특별공급: 302세대
- 일반공급: 311세대
- 입주 예정 시기: 2027년 10월 예정
2025000194 고덕강일 대성베르힐 입주자모집공고문.pdf
1.32MB
고덕강일 대성베르힐 입주자모집공고문 다운로드

📅 2. 청약 분양 일정

구분일정

| 입주자모집공고일 | 2025.05.23. |
| 특별공급 청약 | 2025.06.02.(월) |
| 일반공급 1순위 | 2025.06.04.(수) |
| 일반공급 2순위 | 2025.06.05.(목) |
| 당첨자 발표 | 2025.06.12.(목) |
| 서류제출 기간 | 2025.06.15.(일) ~ 2025.06.18.(수) |
| 계약 기간 | 2025.06.23.(월) ~ 2025.06.26.(목) |

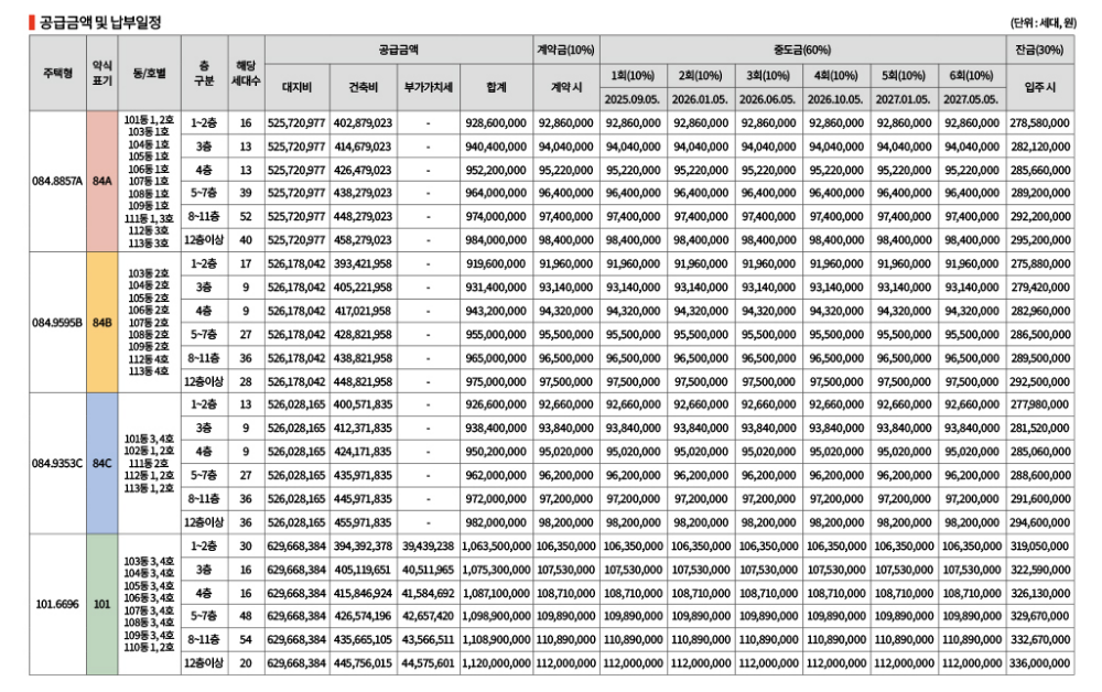
🏘️ 3. 공급 주택형 및 수량
주택형전용면적(㎡)총세대수특별공급일반공급최하층 우선배정



| 84A | 84.8857 | 173 | 61 | 112 | 13 |
| 84B | 84.9595 | 126 | 44 | 82 | 9 |
| 84C | 84.9353 | 130 | 45 | 85 | 9 |
| 101 | 101.6696 | 184 | 23 | 161 | 16 |



💰 4. 분양가 및 납부 조건
- 평균 분양가 (층별 차등 있음)
- 84㎡: 약 9.2억 ~ 9.8억
- 101㎡: 약 10.6억 ~ 11.2억
- 납부 방식
- 계약금 10%: 계약 시 납부
- 중도금 60%: 6회 분할납부
- 잔금 30%: 입주 시 납부 (2027년 예정)
- 중도금 이자: 후불제 (중도금 대출 여부는 개별 계약자 책임)

🧾 5. 청약 자격 요건



- 청약통장 조건: 지역별/면적별 예치금 기준 충족 필수
- 1순위 요건
- 가입기간 12개월 이상
- 예치금 기준 충족
- 2순위: 1순위 요건 미충족 시 가능
- 서울시 1년 이상 거주자(2024.05.23. 이전부터): 50% 우선공급
- 수도권(서울 1년 미만, 경기도, 인천): 나머지 50%
- 전매제한: 3년
- 거주의무기간: 5년 (분양가가 주변 시세의 80% 미만인 경우)
📜 6. 특별공급 유형 및 물량
유형총 세대수
| 기관추천 | 42세대 |
| 다자녀 | 61세대 |
| 신혼부부 | 99세대 |
| 노부모 부양 | 18세대 |
| 생애최초 | 82세대 |
- 고령자(65세 이상), 장애인, 다자녀 가구(미성년자녀 3명 이상)는 최하층 우선배정 가능

🔍 7. 청약 유의사항
- 당첨자 및 세대원 전원은 향후 5년간 투기·청약과열지구 1순위 청약 불가
- 분양권 소유 시 주택소유자로 간주
- 예비입주자 선정은 공급세대수의 최대 500%까지 추첨
- 중복청약 금지 (특별공급과 일반공급 각각 1건만 가능)
📂 8. 중도금 대출 관련 안내
- 중도금 대출은 사업주체가 알선 가능하나, 보장하지 않음
- 개인 신용도, 금융정책에 따라 대출이 불가할 수 있으며, 이로 인한 해약은 불가

📋 9. 계약 관련 필수사항
- 계약 시 납부해야 할 인지세 있음
- 예: 9.8억 → 인지세 15만 원 (공급계약서 기준 금액)
- 발코니 확장비용 별도
- 모든 서류는 원본 제출, 반환하지 않음
- 당첨 후 계약 미체결 시 청약통장 재사용 불가
🧑💻 10. 청약 방법 및 인증서
- 청약홈(PC/모바일) 사용 https://apply.lh.or.kr
- 인증서 종류: 공동인증서, 금융인증서, 민간인증서(카카오, 토스 등) 가능
반응형